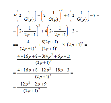
Решение на прикрепленной картинке. Суть: последовательно подставляем сначала функцию G(p), а затем F(p)
- 1 комментарий
- Отметить нарушение!
-
Я вас люблю! спасибо, все стало понятно теперь !отметить нарушение!ailin
