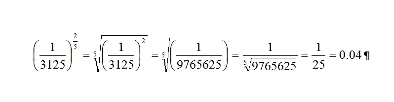
0,00032 в степени 0,4 = 0,04
0,00032^0,5 = 0,00032^(4/10) = 0,00032^(2/5) = (⁵√0,00032)² = 0,2² = 0,2*0.2 = 0,04.
0,00032^0,5 = 0,00032^(4/10) = 0,00032^(2/5) = (⁵√0,00032)² = 0,2² = 0,2*0.2 = 0,04.
- 6 комментариев
- Отметить нарушение!
-
можно подробно? !отметить нарушение!sveta-jerohina
-
Да можно. 1 мин !отметить нарушение!snowzilla
-
Человек ниже расписал !отметить нарушение!snowzilla
-
Смотрите http://koreniz.ru/tasks/31807/. Все ли понятно? !отметить нарушение!snowzilla
-
спасибо) !отметить нарушение!sveta-jerohina
-
Друзьям про сайт расскажите плиз !отметить нарушение!snowzilla
