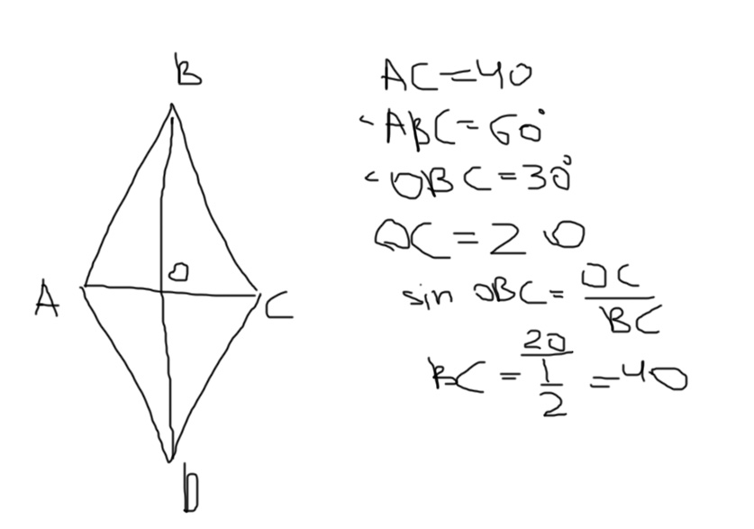
Малая диагональ делит ромб на 2-а равнобедренных треугольника. Согласно условию верхний угол у этого треугольника равен 60°. У равнобедренного треугольника углы при основании равны.
Найдем углы при основании треугольника:
(180 - 60) / 2 = 60°
Следовательно, так как все углы в треугольнике равны, значит треугольник равносторонний и все его стороны равны 40 см. Значит сторона ромба равна 40 см. У ромба все стороны равны.
Найдем периметр ромба (сумма всех сторон):
4 * 40 = 160 см
Ответ: периметр ромба равен 160 см
Найдем углы при основании треугольника:
(180 - 60) / 2 = 60°
Следовательно, так как все углы в треугольнике равны, значит треугольник равносторонний и все его стороны равны 40 см. Значит сторона ромба равна 40 см. У ромба все стороны равны.
Найдем периметр ромба (сумма всех сторон):
4 * 40 = 160 см
Ответ: периметр ромба равен 160 см
- 0 комментариев
- Отметить нарушение!

