Войти
Зарегистрироваться
Вопросы
Справочник
Формулы
Учебники
Люди
Корни
Степени
danila-demidov
2018-11-04 17:22:00
Студенческий
Математика
5+3 б
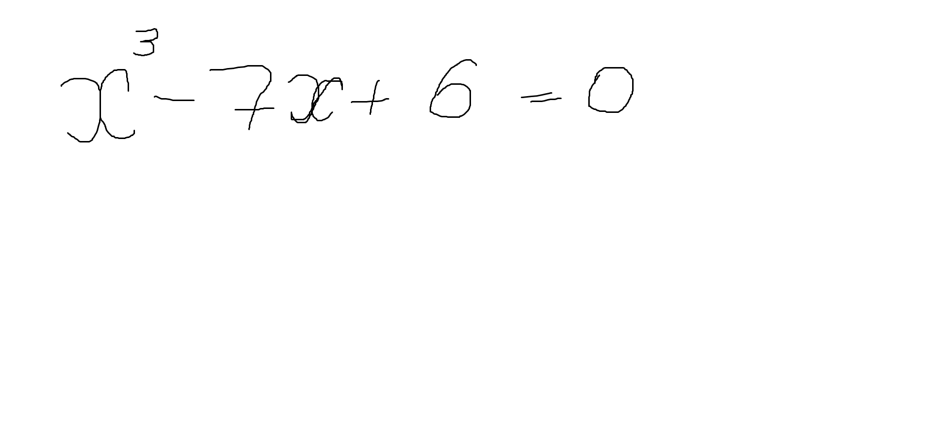
Нужно решить кубическое уравнение по формуле Кардано. x^3-7x+6=0
Следить
Отметить нарушение!
А сроки какие?
!
отметить нарушение!
snowzilla
2018-11-04 17:36:31
Отправить
Войти
чтобы добавить комментарий
Ответы и объяснения
Знаешь ответ?
Добавь его сюда!
Ω
x
n
+
×
Добавить ответ
Задай вопрос
+