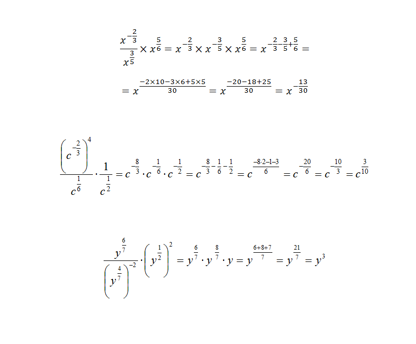
Главное правило - при умножении чисел с одинаковым основаниями степени складываются, при делении вычитаются
(решение смотри на прикрепленном фото)
(решение смотри на прикрепленном фото)
- 0 комментариев
- Отметить нарушение!
